Bài tập: Nhập vào 3 số a b c tương ứng chiều dài 3 cạnh của tam giác. Viết chương trình tính chu vi và diện tích tam giác
- Input
3 4 5
- Output
Chu vi tam giac la: 12 Dien tich tam giac la: 6

Cách tính chu vi tam giác trong c++
- Sau khi nhập ba cạnh a, b, c thì các bạn nên kiểm tra xem nó có phải là cạnh của tam giác không.
- Để tính chu vi thì quá đơn giản rồi phải không nào. Các bạn chỉ cần cộng ba cạnh a, b, c là xong rồi.
- Hàm
chuvi(float a, float b, float c)sẽ có kiểu trả về là float ( vì các cạnh nhập vào là float ) và có ba tham số a, b, c là ba cạnh của tam giác đó.
Các bạn có thể tham khảo cách tính chu vi bằng code c++
#include<iostream>
using namespace std;
float chuvi(int a, int b, int c) {
return a + b + c;
}
int main(){
float a, b, c;
cout << "Nhap canh a: ";
cin >> a;
cout << "Nhap canh b: ";
cin >> b;
cout << "Nhap canh c: ";
cin >> c;
if (a >= b + c || b >= a + c || c >= a + b)
cout << "Ba canh vua nhap khong phai la canh cua tam giac";
else {
cout << "Chu vi cua tam giac la: "<<chuvi(a,b,c);
}
system("pause");
return 0;
}Cách tính diện tích tam giác trong c++
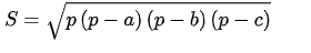
- Sau khi đã kiểm tra ba cạnh a, b, c là ba cạnh của một tam giác rồi thì ta tiến hành tính diện tích tam giác bằng công thức heron.
- Công thức heron:

- Trong đó p là một nửa chu vi của tam giác, S là diện tích tam giác.
- Hàm
dientich( float a, float b, float c)sẽ có kiểu trả về là float nha.
Chúng ta cùng viết chương trình tính diện tích tam giác thôi !
#include<iostream>
using namespace std;
float chuvi(int a, int b, int c) {
return a + b + c;
}
float dientich(int a, int b, int c) {
float p = chuvi(a, b, c) / 2.0;
return sqrt(p*(p - a)*(p - b)*(p - c));
}
int main(){
float a, b, c;
cout << "Nhap canh a: ";
cin >> a;
cout << "Nhap canh b: ";
cin >> b;
cout << "Nhap canh c: ";
cin >> c;
if (a >= b + c || b >= a + c || c >= a + b)
cout << "Ba canh vua nhap khong phai la canh cua tam giac";
else {
cout << "Chu vi cua tam giac la: "<<chuvi(a,b,c)<<endl;
cout << "Dien tich cua tam giac la: " << dientich(a, b, c)<<endl;
}
system("pause");
return 0;
}
Sau khi chạy chương trình trên ta có kết quả sau
Nhap canh a: 3 Nhap canh b: 4 Nhap canh c: 5 Chu vi cua tam giac la: 12 Dien tich cua tam giac la: 6
Bài viết mình đến đây là kết thúc. Cám ơn các bạn đã theo dõi !



Để lại một bình luận